Mean Square Displacement (MSD)分析代码示例

备注:基于LAMMPS的data+strj文件+Python MDAnalysis 代码示例: import MDAnalysis as mda from MDAnalysis.analysis im...

LAMMPS in文件范例

units real # timestep 1 fs boundary p p p atom_style full bond_styl...

MD常用命令总结

LAMMPS 将Materials studio的文件转化为LAMMPS可用的data文件 .\msi2lmp.exe .\Layer -i -frc ..\frc_files\cvff.frc .\...

TOC测试(E8-5楼 ChBE-NUS)

TOC 开气; 开TOC机器; 开电脑; 点file打开之前的,另存为; 复制已经completed的,粘贴在下面,再删除之前的; 点connet; 需要预热20分钟左右,期间点蛋糕样,点号数,放样品...

SEM测试(ChBE-NUS)

喷金,按照桌上贴着的manual来就好,喷金完成后要用无尘纸擦一下喷金机器圆柱筒的内壁; 将样品装到样品台; 确定VENT灯常亮,EVAC灯常暗;如果不,则长按VENT按键2秒,闪烁后松手,待VENT...

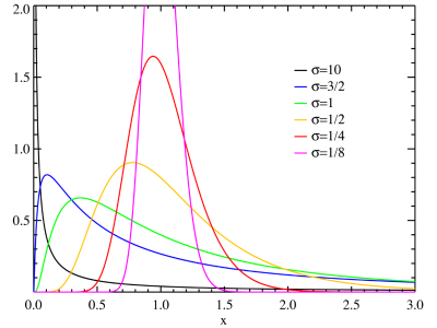
[教学] 膜孔径分布拟合(溶质透过法)

用膜对至少四种不带电有机物的截留率,拟合得到膜孔径分布的方法,具体过程如下: 注意,图中分子直径换算公式仅适合用于聚乙二醇(PEG)。 附件下载:excel,...

基金配图心得

声明:以下为对时间要求比较紧或者不想浪费太多时间的情况,其实更希望自己能够充分发挥自己的想象力,绘出有自己特色的东西。 一般的,最快获得灵感的地方就是别人的图了,作图前,先去找找前辈们怎么画的; 对于...

消息盒子

# 暂无消息 #

只显示最新10条未读和已读信息